काठमाडौं – आर्थिक वर्ष २०८१/०८२ मा ११ खर्ब ७८ अर्ब ८२ करोड रुपैयाँ बराबर राजस्व सङ्कलन भएको अर्थ मन्त्रालयले जनाएको छ।
आर्थिक वर्ष २०८०/०८१ को भन्दा यो १ खर्ब २० अर्ब बढी हो। प्रतिशतका आधारमा ११.३३ प्रतिशत वृद्धि हो।
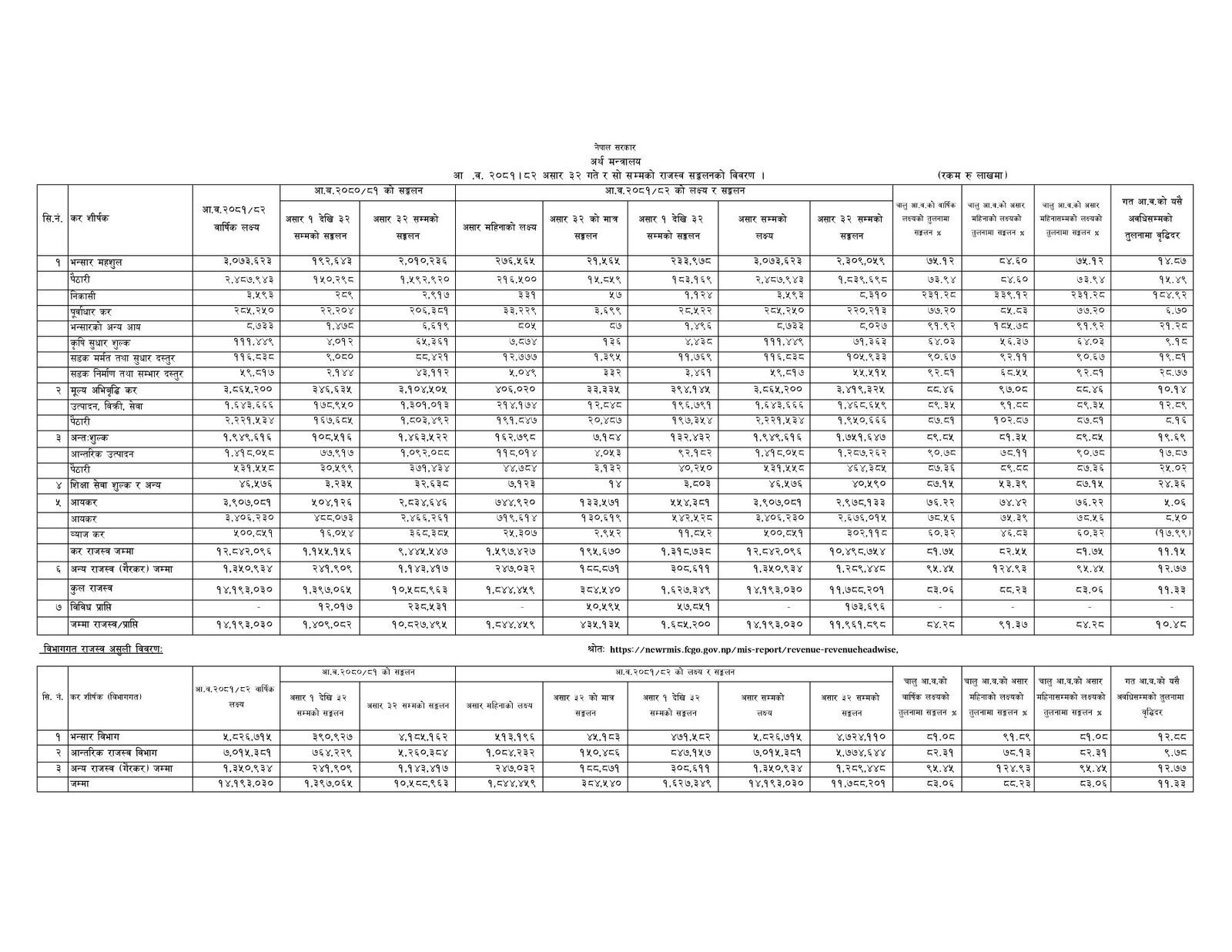
आर्थिक वर्ष २०८०/०८१ मा १० खर्ब ५८ अर्ब राजस्व सङ्कलन भएको थियो।
आर्थिक वर्ष २०८१/०८२ मा १४ खर्ब १९ अर्ब राजस्व सङ्कलन गर्ने लक्ष्य थियो। अर्ध वार्षिक समीक्षामा संशोधन गरी १२ खर्ब ८६ अर्बको लक्ष्य तय गरिएको थियो।
संशोधित लक्ष्य अनुसार ९१.६० प्रतिशत राजस्व सङ्कलन भएको छ।
अर्थ मन्त्रालय राजस्व महाशाखा प्रमुख उत्तरकुमार खत्रीले विपद्, अन्तर्राष्ट्रिय परिस्थितिले गर्दा चुनौतीहरू हुँदाहुँदै पनि अघिल्लो आर्थिक वर्षको तुलनामा उत्साहजनक रूपमा राजस्व सङ्कलन भएको बताए। उनले भने-‘तयारी सुरु गरिसकेका छौँ। चालू आर्थिक वर्षमा राजस्व सङ्कलनको लक्ष्य पूरा गर्ने गरी अघि बढ्नेछौ।’
चालू आर्थिक वर्षमा १३ खर्ब १५ अर्ब राजस्व सङ्कलनको लक्ष्य छ।
आर्थिक वर्ष २०७१/०७२ मा ४ खर्ब ५ अर्ब, २०७२/०७३ मा ४ खर्ब ८१ अर्ब, २०७३/०७४ मा ६ खर्ब ९ अर्ब, २०७४/०७५ मा ७ खर्ब २६ अर्ब, २०७५/०७६ मा ८ खर्ब २९ अर्ब राजस्व सङ्कलन भएको थियो।
त्यसैगरी २०७६/०७७ मा ७ खर्ब ९३ अर्ब, २०७७/०७८ मा ९ खर्ब ३५ अर्ब, २०७८/०७९ मा १० खर्ब ६६ अर्ब, २०७९/०८० मा ९ खर्ब ५७ अर्ब र २०८०/०८१ मा १० खर्ब ५८ अर्ब रुपैयाँ सङ्कलन भएको थियो।

"पहिचानमा प्रकाशित सामाग्रीबारे प्रतिक्रिया, सल्लाह, सुझाव र कुनै सामाग्री भए [email protected] मा पठाउनु होला।"
Copyright © All right reserved to pahichan.com Site By: Sobij.